芽葱网
首页
电影
电视剧
排行榜
标签
影人
类型:
剧情
喜剧
动作
爱情
科幻
悬疑
恐怖
动画
惊悚
犯罪
纪录片
奇幻
战争
冒险
传记
更多 >
首页
>
电影
>
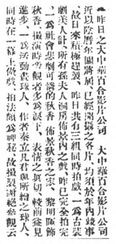
球人
球人
暂无评分
电影
年份:
1926
导演:
秦立凡 Lifan Qin
主演:
秦立凡 Lifan Qin
类型:
动画
地区:
中国大陆
语言:
无对白
演职员表
导演
秦立凡 Lifan Qin
导演 Director
演员
秦立凡 Lifan Qin
演员 Actor
剧照 (5)
相似推荐
星男:这个星球上的恋爱 スターマン・この星の恋
6.6
2013
/
剧情
排球少年!!垃圾场决战 劇場版ハイキュー!! ゴミ捨て場の決戦
8.2
2024
/
动画
赛文奥特曼 我是地球人 ウルトラセブン わたしは地球人
9.2
1999
/
动作
原始星球 La planète sauvage
8.7
1973
/
科幻
排球少年 ハイキュー!!
9.6
2014
/
剧情
排球少年 第二季 ハイキュー!! セカンドシーズン
9.7
2015
/
剧情
快乐星球 第五部
2020
/
儿童
即便弱小也能获胜 弱くても勝てます~青志先生とへっぽこ高校球児の野望~
7.5
2014
/
剧情
M·S·多尼:不为人知的故事 M.S Dhoni: The Untold Story
2016
/
剧情
极速牵绊 地球先锋队 トミカ絆合体アースグランナー
2020
/
科幻
贝克汉姆:拯救我们的球队 Save Our Squad with David Beckham
8
2022
/
纪录片
第四类地球人 第一季 People of Earth Season 1
7.6
2016
/
喜剧
×